C283 Calculus II
Access The Exact Questions for C283 Calculus II
💯 100% Pass Rate guaranteed
🗓️ Unlock for 1 Month
Rated 4.8/5 from over 1000+ reviews
- Unlimited Exact Practice Test Questions
- Trusted By 200 Million Students and Professors
What’s Included:
- Unlock Actual Exam Questions and Answers for C283 Calculus II on monthly basis
- Well-structured questions covering all topics, accompanied by organized images.
- Learn from mistakes with detailed answer explanations.
- Easy To understand explanations for all students.
Free C283 Calculus II Questions
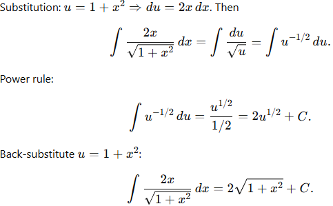
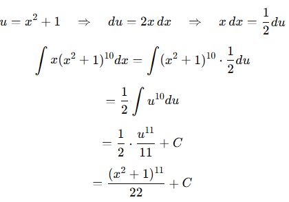
Evaluate
-
-
-
-
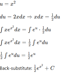
Explanation

-
-
-
-
Explanation
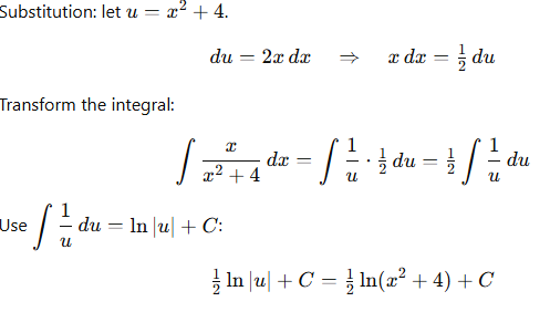
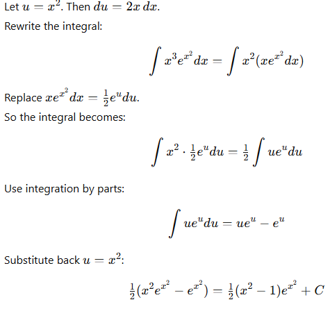
Evaluate
-
-
-
-
Explanation

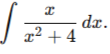
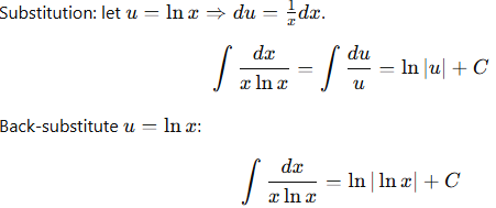
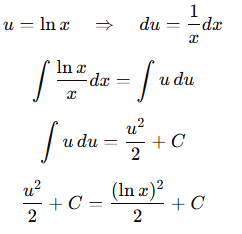
find
-
-
-
-
Explanation
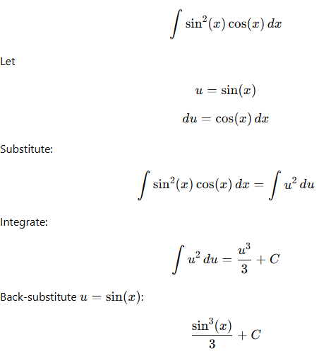
Evaluate using a trigonometric identity.
-
-
-
-
Explanation
solve
-
-
-
-
Explanation
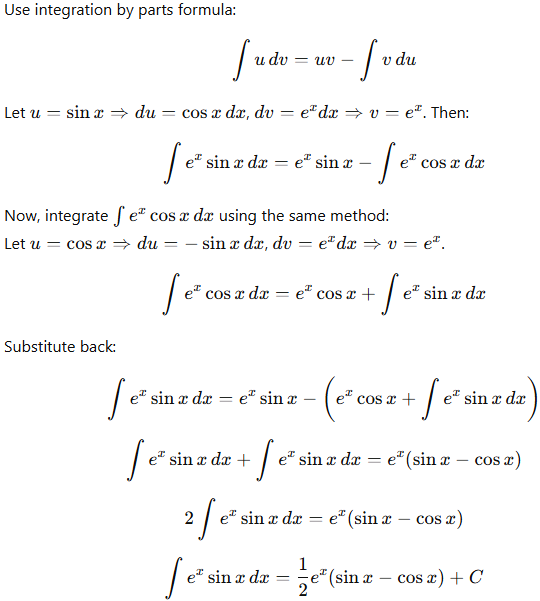
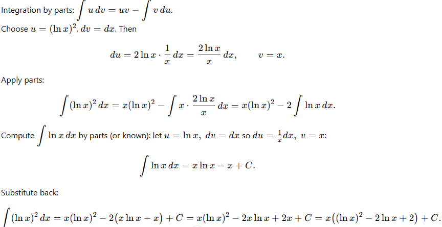
solve using integration by parts.
-
-
-
-
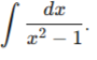
Explanation
Solve
-
-
-
-
Explanation
Find the solution
-
-
-
-
Explanation
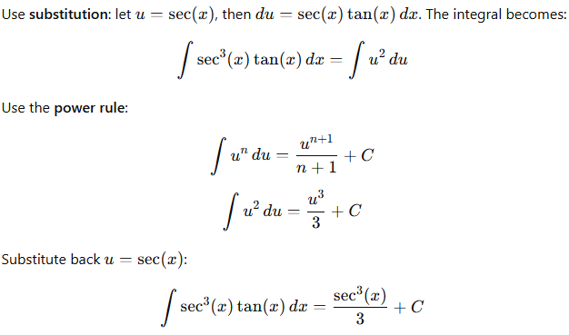
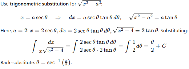
solve using trigonometric substitution.
-
-
-
-
Explanation
How to Order
Select Your Exam
Click on your desired exam to open its dedicated page with resources like practice questions, flashcards, and study guides.Choose what to focus on, Your selected exam is saved for quick access Once you log in.
Subscribe
Hit the Subscribe button on the platform. With your subscription, you will enjoy unlimited access to all practice questions and resources for a full 1-month period. After the month has elapsed, you can choose to resubscribe to continue benefiting from our comprehensive exam preparation tools and resources.
Pay and unlock the practice Questions
Once your payment is processed, you’ll immediately unlock access to all practice questions tailored to your selected exam for 1 month .