MATH 2100 C958 Calculus I
Access The Exact Questions for MATH 2100 C958 Calculus I
💯 100% Pass Rate guaranteed
🗓️ Unlock for 1 Month
Rated 4.8/5 from over 1000+ reviews
- Unlimited Exact Practice Test Questions
- Trusted By 200 Million Students and Professors
What’s Included:
- Unlock Actual Exam Questions and Answers for MATH 2100 C958 Calculus I on monthly basis
- Well-structured questions covering all topics, accompanied by organized images.
- Learn from mistakes with detailed answer explanations.
- Easy To understand explanations for all students.
Free MATH 2100 C958 Calculus I Questions
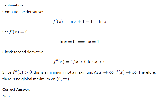
Global max of f(x) = x ln x − x on (0,∞)?
-
At x = 1/e
-
At x = 1
-
At x = e
-
None
Explanation
Evaluate limx→3 (x2−9)/(√x−√3) by rationalizing
-
6
-
3
-
9
-
12√3
Explanation
Absolute max of f(x) = x3 − 3x on [−2,2]?
-
0
-
4
-
-2
-
2
Explanation
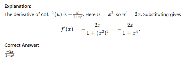
Implicit: xy = 1, find dy/dx.
-
−x/y
-
y/x
-
x/y
-
−y/x
Explanation

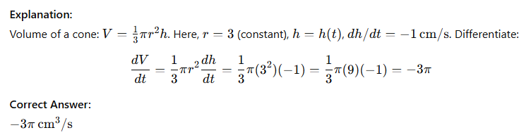
-
0
-
1
-
∞
-
Does not exist
Explanation
Explanation
The real-valued function f(x) = √x is defined only for x ≥ 0. Approaching 0 from the left means considering values x < 0, where f(x) is not defined in the real numbers. Because there are no function values for x < 0, the left-hand limit cannot be evaluated and therefore does not exist as a real limit.
Correct Answer
Does not exist
A high school teacher uses L’Hôpital’s rule on limₓ→0 (sin x / x). What is the result?
-
0
-
1
-
∞
-
Undefined
Explanation
Explanation:
The limit limₓ→0 (sin x / x) is of the indeterminate form 0/0, so L’Hôpital’s rule applies. Differentiate the numerator and denominator: the derivative of sin x is cos x, and the derivative of x is 1. Therefore, the limit becomes limₓ→0 cos x = cos 0 = 1.
Correct Answer:
1
∫sec2 x dx =?
-
tan x + C
-
sec x + C
-
−cot x + C
-
ln∣sec x∣ + C
Explanation
Explanation:
The derivative of tan x is sec2 x, so the antiderivative of sec2 x is:
∫sec2 x dx = tan x +C
Correct Answer:
tan x + C
Evaluate limx→−∞ (√(x2+1))/ x + 1.
-
1
-
0
-
-1
-
∞
Explanation
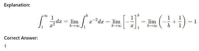
Improper integral:
-
∞
-
1
-
0
-
1/2
Explanation
Using simpson's rule
-
2
-
1.9
-
2.1
-
0
Explanation
How to Order
Select Your Exam
Click on your desired exam to open its dedicated page with resources like practice questions, flashcards, and study guides.Choose what to focus on, Your selected exam is saved for quick access Once you log in.
Subscribe
Hit the Subscribe button on the platform. With your subscription, you will enjoy unlimited access to all practice questions and resources for a full 1-month period. After the month has elapsed, you can choose to resubscribe to continue benefiting from our comprehensive exam preparation tools and resources.
Pay and unlock the practice Questions
Once your payment is processed, you’ll immediately unlock access to all practice questions tailored to your selected exam for 1 month .